
NCEA Level 2 Physics
Mechanics
This page is designed to test your use of the equations for 91171 Mechanics standard.
Click on the Equation(s), Answer and Unit after each question to reveal the answers.
(There is a pdf of the questions on their own here and with answers here).
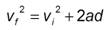
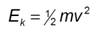
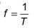
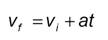
The formulae listed in the explanatory notes to the achievement standard will be provided, plus any other required formulae(g = 9.8 ms-2(Nkg-1))
1. A 5 kg mass extends a spring by 0.50 m. What is the spring constant of the spring?
Equation(s), Answer and Unit
|
98 |
Nm-1 |
2. If a rifle of mass 7 kg fires a bullet of mass 8 g at a speed 210 ms-1, what is the rifle's initial recoil velocity?
Equation(s), Answer and Unit
|
0.24 |
ms-1 |
3. A train of mass 5000 kg moves at a speed of 30 ms-1on a horizontal surface. Calculate the kinetic energy of the train.
Equation(s), Answer and Unit
|
2.25 x 106 |
J |
4. A resultant force of 4 N is applied to a body of mass 2 kg for 1 second. What is the acceleration of the body?
Equation(s), Answer and Unit
|
2 |
ms-2 |
5. An airplane has a maximum acceleration on the ground of 3.4 ms-2. What is the minimum length of runway needed if it is to reach its take-off speed of 110 ms-1?
Equation(s), Answer and Unit
|
1779 |
m |
6. A 4 kg mass travels at 5 ms-1to the right. It collides with a 3 kg mass travelling at 6 ms-1to the left. After the collision, the 3 kg mass moves off to the right at 2 ms-1.
Use the law of conservation of momentum to work out the final speed of the 4 kg mass.
Equation(s), Answer and Unit
|
1 |
ms-1to the left |
7. A student whirls a stone around on the end of a string in a horizontal circle. The stone rotates round at 10 times each second. What is the time period of the stone’s rotation?
Equation(s), Answer and Unit
|
0.1 |
s |
8. An arrow, in being fired from a bow, is accelerated over a distance of 0.40 m and leaves the bow with a velocity of 40 ms-1. What is the acceleration of the arrow while being fired?
Equation(s), Answer and Unit
|
2000 |
ms-2 |
9. A bullet is fired horizontally from a gun held 1.4 m above the ground on the Canterbury plains.
If the bullet leaves the gun with a velocity of 300 ms-1 at what distance from the gun will the bullet strike the ground?
Equation(s), Answer and Unit
|
160 |
m |
10. A stone of mass 0.20 kg on the end of a piece of string is whirled in a horizontal circle of radius 1.0 m with a constant speed of 2.4 ms-1.
What is the tension in the string?
Equation(s), Answer and Unit
|
1.2 |
N |
11. A train travelling at 10 ms-1increases its speed uniformly to 25 ms-1 in 3 s. Find its acceleration.
Equation(s), Answer and Unit
|
5 |
ms-2 |
12. A diving bell is lowered into the sea at a speed of 6.00 ms-1and comes to rest with uniform retardation at a distance of 20.0 m below the surface.
Calculate the time it takes to come to rest.
Equation(s), Answer and Unit
|
6.67 |
s |
13. A ball is thrown upwards with an initial velocity of 30 ms-1. Find the time taken for the ball to return to its starting point
Equation(s), Answer and Unit
|
6.12 |
s |
14. A heavy rubber ball of mass 0.2 kg, initially at rest, falls vertically through a height of 3.2 m on to a flat, heavy, steel plate.
Assuming negligible air resistance, calculate the speed of the ball just before impact.
Equation(s), Answer and Unit
|
7.9 |
ms-1 |
15. When a bullet with mass 0.015 kg travelling at 650 ms-1passes clean through a wooden block of mass 1.2 kg, initially at rest, the block moves off at 4 ms-1immediately after the bullet has passed through it.
What is the bullet's final speed?
Equation(s), Answer and Unit
|
330 |
ms-1 |
(Please note: There has been no attempt to show the correct number of significant figures in this exercise)